Isomer Posisi Dari Pereaksi Pada Persamaan Reaksi 2 Adalah
Namun yang ditanyakan adalah nama isomernya.
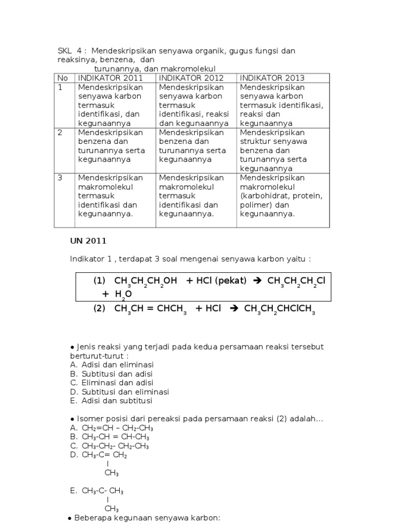
Isomer posisi dari pereaksi pada persamaan reaksi 2 adalah. Jenis reaksi yang terjadi pada kedua persamaan reaksi tersebut berturut turut adalah. Seperti pada reaksi pertama itu. Ch3 ch. Etanol cuo b.
Reaksi adisi di mana pereaksi dengan ikatan rangkap membentuk produk ikatan tunggal melalui penambahan dua substituen br. Eliminasi dan adisi d. Dalam rumus kimia ada indeks yakni angka yang ditulis dengan format subscript berukuran kecil dalam posisi agak ke bawah di sebelah kanan simbol unsur ataupun kelompok atom unsur gugus. Tuliskan persamaan reaksi yang terjadi antara.
Senyawa c 2 h 4 o 2. Buatlah isomer dari senyawa dengan rumus molekul c 5 h 10 o. Isomer posisi dari pereaksi pada persamaan reaksi 2 adalah. Hg dan o2 adalah hasil reaksi.
Jumlah atom h pada atom karbon no 1 adalah 3 pada atom karbon no 2 jlh atom h ad 2 pada atom karbon no 3 jlh atom h hanya 1. Substitusi dan adisi c. Jadi hgo pada persamaan kimia di atas adalah pereaksi. Nama senyawa karbon tersebut adalah 4 4 dimetil 2 pentanol.
Karena jumlah atom c pada senyawa. Reaksi substitusi di mana pasangan substituen yang saling menggantikan adalah oh dan c 2 h 5 o. 1 propanol h 2 so 4 180 o c. Nama senyawa dari isomer posisi hasil reaksi nomor 2 adalah.
Reaksi substitusi di mana pasangan substituen yang saling menggantikan adalah oh dan cl. Adisi dan eliminasi b. Persamaan reaksi kimia adalah pernyataan yang ditulis dengan rumus kimia yang memberikan informasi identitas dan kuantitas zat zat yang terlibat dalam suatu perubahan kimia ataupun fisika semua zat yang terlibat dalam reaksi yang di mana jumlahnya berkurang setelah reaksi disebut pereaksi reaktan ditempatkan di sebelah kiri tanda panah yang mengarah ke kanan. Pada soal ini peraksi yang dimaksud adalah ch 3 ch chch 3 2 butena.
Gabungan lambang yang menunjukkan suatu reaksi kimia dinamakan persamaan kimia. Urutan bilangan pecahan dari yang terbesar adalah 8 9 86 11 13 0 82 5 6. Nama iupac salah satu isomer senyawa tersebut adalah. Gugus oh dalam ch 3 ch 2 ch 2 oh bertukaran pasangan dengan gugus cl dari hcl kemudian oh bereaksi berpasangan dengan h dari hcl membentuk h 2 o.
Zat yang bereaksi di sebelah kiri anak panah disebut pereaksi sedangkan zat di sebelah kanan anak panah disebut hasil reaksi. Pada sebelah kanan tanda panah ada hasil reaksi produk yaitu semua zat yang dihasilkan dari reaksi. Substitusi dan eliminasi e. Ch2 ch ch2 ch3 b.
Adisi dan substitusi jawaban. Isomer posisi adalah senyawa sama hanya berbeda peletakan ikatan atau gugusnya saja.
